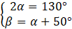
W tym zadaniu musisz obliczyć miary kątów w równoległoboku, wiedząc, że sumy miar kątów przeciwległych różnią się o .
Kąty w tym równoległoboku mają miary: , , , .
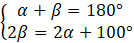
Rozwiąż układ równań z dwoma równaniami, które opisują zależności między miarami kątów w tym równoległoboku, wyznacz miary tych kątów.
Zadanie 1.
Zadanie 2.
Zadanie 3.
Podpunkt a)
Podpunkt b)
Zadanie 4.
Zadanie 5.
Zadanie 6.
Zadanie 7.
Zadanie 8.
Zadanie 9.
Zadanie 10.
Podpunkt c)
Zadanie 11.
Zadanie 12.
Zadanie 13.
Zadanie 14.
Zadanie 15.
Zadanie 16.
Zadanie 17.
Zadanie 18.
Podpunkt d)