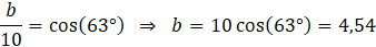
Masz obliczyć objętość oraz pole powierzchni całkowitej ostrosłupa prawidłowego czworokątnego, którego wysokość ściany bocznej opuszczona z wierzchołka ostrosłupa jest równa 10, a kąt nachylenia ściany bocznej ostrosłupa do płaszczyzny podstawy ma miarę 63°.
Z zależności trygonometrycznych oblicz wysokość ostrosłupa (H) oraz długość krawędzi podstawy (a). Następnie oblicz objętość (V) i pole całkowite (P) tej bryły.
Zadanie 1.8.
16Zadanie 1.11.
17Zadanie 1.13.
17Zadanie Prosto do matury 5.
18Zadanie 2.1.
24Zadanie 2.5.
24Zadanie 2.8.
25Zadanie 2.9.
25Zadanie 2.11.
25Zadanie 2.12.
25Zadanie 2.13.
26Zadanie 2.14.
26Zadanie 2.15.
26Zadanie 3.1.
30Zadanie 3.2.
31Zadanie 3.3.
31Zadanie Prosto do matury 5.
33Zadanie 4.1.
42Zadanie 4.3.
42Zadanie 4.6.
42Zadanie 4.7.
42Zadanie 4.11.
42Zadanie 4.14.
43Zadanie 4.17.
43Zadanie 5.1.
56Zadanie 5.2.
56Zadanie 5.3.
56Zadanie 5.6.
56Zadanie 5.10.
57Zadanie 5.17.
57Zadanie 5.23.
58Zadanie 6.2.
69Zadanie 6.3.
69Zadanie 6.4.
69Zadanie 6.7.
69Zadanie 6.11.
69Zadanie 6.12.
69Zadanie 7.10.
82Zadanie 37.
90