Masz obliczyć pole podstawy ostrosłupa oraz wyznaczyć tangens nachylenia ściany bocznej do płaszczyzny podstawy. Ostrosłup ten jest prawidłowy czworokątny, ma wysokość 20, a jego krawędzie są nachylone do płaszczyzny podstawy pod kątem
Pole podstawy:
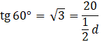
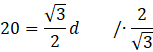
Wyznaczenie długości przekątnej:
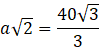
Wyznaczenie długości krawędzi podstawy:
Wyznaczenie pola podstawy:
Tangens kąta nachylenia ściany bocznej:
Aby wyznaczyć pole podstawy, która jest kwadratem, potrzebujesz znaleźć długość krawędzi podstawy. Zauważ, że znając wysokość ostrosłupa, możesz wyznaczyć długość połowy przekątnej podstawy, korzystając z funkcji tangens. Następnie możesz wyznaczyć długość całej przekątnej i kolejno długość krawędzi podstawy. Masz również wyznaczyć tangens kąta nachylenia ściany bocznej. Zauważ, że masz podaną wysokość ostrosłupa, a druga przyprostokątna trójkąta prostokątnego ma długość równą połowie długości krawędzi podstawy.
Zadanie 1.8.
16Zadanie 1.11.
17Zadanie 1.13.
17Zadanie Prosto do matury 5.
18Zadanie 2.1.
24Zadanie 2.5.
24Zadanie 2.8.
25Zadanie 2.9.
25Zadanie 2.11.
25Zadanie 2.12.
25Zadanie 2.13.
26Zadanie 2.14.
26Zadanie 2.15.
26Zadanie 3.1.
30Zadanie 3.2.
31Zadanie 3.3.
31Zadanie Prosto do matury 5.
33Zadanie 4.1.
42Zadanie 4.3.
42Zadanie 4.6.
42Zadanie 4.7.
42Zadanie 4.11.
42Zadanie 4.14.
43Zadanie 4.17.
43Zadanie 5.1.
56Zadanie 5.2.
56Zadanie 5.3.
56Zadanie 5.6.
56Zadanie 5.10.
57Zadanie 5.17.
57Zadanie 5.23.
58Zadanie 6.2.
69Zadanie 6.3.
69Zadanie 6.4.
69Zadanie 6.7.
69Zadanie 6.11.
69Zadanie 6.12.
69Zadanie 7.10.
82Zadanie 37.
90