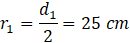
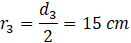
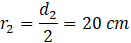
Maciek lepi bałwana, który składa się z trzech kul. Ich średnice są w proporcji 5 : 4 : 3, a sam bałwan ma mieć 1,2 m wysokości. Twoim zadaniem jest wyliczenie, ile m2 powinien mieć ogródek, aby zebrać z niego potrzebny śnieg, przyjmując, że jedna warstwa ma grubość 1 cm.
Wyznaczenie promieni kul:
1,2 m = 120 cm
Wyznaczenie objętości kul:
Suma objętości:
Powierzchnia ogrodu:
Aby sprawdzić, ile śniegu będzie potrzebne na ulepienie bałwana, musisz obliczyć objętości trzech kul, które zostaną zużyte do jego zbudowania.
Zadanie 1.8.
16Zadanie 1.11.
17Zadanie 1.13.
17Zadanie Prosto do matury 5.
18Zadanie 2.1.
24Zadanie 2.5.
24Zadanie 2.8.
25Zadanie 2.9.
25Zadanie 2.11.
25Zadanie 2.12.
25Zadanie 2.13.
26Zadanie 2.14.
26Zadanie 2.15.
26Zadanie 3.1.
30Zadanie 3.2.
31Zadanie 3.3.
31Zadanie Prosto do matury 5.
33Zadanie 4.1.
42Zadanie 4.3.
42Zadanie 4.6.
42Zadanie 4.7.
42Zadanie 4.11.
42Zadanie 4.14.
43Zadanie 4.17.
43Zadanie 5.1.
56Zadanie 5.2.
56Zadanie 5.3.
56Zadanie 5.6.
56Zadanie 5.10.
57Zadanie 5.17.
57Zadanie 5.23.
58Zadanie 6.2.
69Zadanie 6.3.
69Zadanie 6.4.
69Zadanie 6.7.
69Zadanie 6.11.
69Zadanie 6.12.
69Zadanie 7.10.
82Zadanie 37.
90