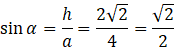
Masz narysować ostrosłup prawidłowy czworokątny, którego krawędzie mają taką samą długość. Masz obliczyć wartość kąta nachylenia.
Aby wyznaczyć kąt nachylenia, musisz skorzystać z rozwiązania w podpunkcie b, w którym wyznaczyłeś wysokość ostrosłupa. Znasz też długość krawędzi. Wykorzystujesz informację, że sinus podanego kąta będzie równy stosunkowi wysokości ostrosłupa do jego długości krawędzi bocznej. Po wyznaczeniu wartości sinusa, sprawdzasz, dla jakiego kąta przyjmuje taką wartość.
Zadanie 1.8.
16Zadanie 1.11.
17Zadanie 1.13.
17Zadanie Prosto do matury 5.
18Zadanie 2.1.
24Zadanie 2.5.
24Zadanie 2.8.
25Zadanie 2.9.
25Zadanie 2.11.
25Zadanie 2.12.
25Zadanie 2.13.
26Zadanie 2.14.
26Zadanie 2.15.
26Zadanie 3.1.
30Zadanie 3.2.
31Zadanie 3.3.
31Zadanie Prosto do matury 5.
33Zadanie 4.1.
42Zadanie 4.3.
42Zadanie 4.6.
42Zadanie 4.7.
42Zadanie 4.11.
42Zadanie 4.14.
43Zadanie 4.17.
43Zadanie 5.1.
56Zadanie 5.2.
56Zadanie 5.3.
56Zadanie 5.6.
56Zadanie 5.10.
57Zadanie 5.17.
57Zadanie 5.23.
58Zadanie 6.2.
69Zadanie 6.3.
69Zadanie 6.4.
69Zadanie 6.7.
69Zadanie 6.11.
69Zadanie 6.12.
69Zadanie 7.10.
82Zadanie 37.
90