Masz wyznaczyć pole powierzchni całkowitej ostrosłupa prawidłowego czworokątnego, którego przekątna podstawy ma długość 10√6, a kąt pomiędzy dwoma wysokościami przeciwległych ścian bocznych ma miarę 120º
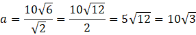
Krawędź podstawy:
Wysokość ściany bocznej:
Wysokość ostrosłupa:
Pole całkowite:
W obliczeniach kluczowe jest wyznaczenie długości boków z wartości trygonometrycznych. Wyznaczasz sobie długość krawędzi podstawy oraz wysokość ściany bocznej. Weź pod uwagę, że uwzględniasz tylko połowę kąta α. Wysokość ostrosłup wyznaczasz z funkcji cosinus. Dzięki temu uzyskujesz dane do obliczenia pola całkowitego ostrosłupa.
Zadanie 1.8.
16Zadanie 1.11.
17Zadanie 1.13.
17Zadanie Prosto do matury 5.
18Zadanie 2.1.
24Zadanie 2.5.
24Zadanie 2.8.
25Zadanie 2.9.
25Zadanie 2.11.
25Zadanie 2.12.
25Zadanie 2.13.
26Zadanie 2.14.
26Zadanie 2.15.
26Zadanie 3.1.
30Zadanie 3.2.
31Zadanie 3.3.
31Zadanie Prosto do matury 5.
33Zadanie 4.1.
42Zadanie 4.3.
42Zadanie 4.6.
42Zadanie 4.7.
42Zadanie 4.11.
42Zadanie 4.14.
43Zadanie 4.17.
43Zadanie 5.1.
56Zadanie 5.2.
56Zadanie 5.3.
56Zadanie 5.6.
56Zadanie 5.10.
57Zadanie 5.17.
57Zadanie 5.23.
58Zadanie 6.2.
69Zadanie 6.3.
69Zadanie 6.4.
69Zadanie 6.7.
69Zadanie 6.11.
69Zadanie 6.12.
69Zadanie 7.10.
82Zadanie 37.
90