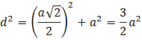
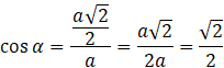
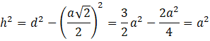
Jest podany prostopadłościan, który w podstawie ma kwadrat. Jej przekątna jest dwa razy dłuższa od wysokości prostopadłościanu. Masz wyznaczyć kąt, który tworzy płaszczyzna, jaka przechodzi przez przekątną tej podstawy oraz jeden wierzchołek prostopadłościanu z podstawą tego prostopadłościanu.
Przekątna ściany:
Wysokość przekroju:
Kąt
Aby wyznaczyć ten kąt, musisz znać wysokość przekroju. Do wysokości z przekroju musisz znać długość przekątnej ściany bocznej. Ją znów wyznaczysz z twierdzenia Pitagorasa.
Zadanie 1.8.
16Zadanie 1.11.
17Zadanie 1.13.
17Zadanie Prosto do matury 5.
18Zadanie 2.1.
24Zadanie 2.5.
24Zadanie 2.8.
25Zadanie 2.9.
25Zadanie 2.11.
25Zadanie 2.12.
25Zadanie 2.13.
26Zadanie 2.14.
26Zadanie 2.15.
26Zadanie 3.1.
30Zadanie 3.2.
31Zadanie 3.3.
31Zadanie Prosto do matury 5.
33Zadanie 4.1.
42Zadanie 4.3.
42Zadanie 4.6.
42Zadanie 4.7.
42Zadanie 4.11.
42Zadanie 4.14.
43Zadanie 4.17.
43Zadanie 5.1.
56Zadanie 5.2.
56Zadanie 5.3.
56Zadanie 5.6.
56Zadanie 5.10.
57Zadanie 5.17.
57Zadanie 5.23.
58Zadanie 6.2.
69Zadanie 6.3.
69Zadanie 6.4.
69Zadanie 6.7.
69Zadanie 6.11.
69Zadanie 6.12.
69Zadanie 7.10.
82Zadanie 37.
90