Masz podane, że tworząca stożka ma 24 cm oraz kąt α, który jest kątem nachylenia tworzącej do podstawy. Oblicz promień podstawy stożka oraz wysokość
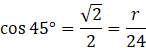
Obliczenie długości promienia:
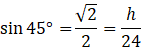
Obliczenie wysokości stożka:
Obliczenia wykonujesz na podstawie podanego rysunku w rozwiązaniu. W treści podano, że kąt α wynosi 45º. Wykorzystujesz zatem funkcję sinus i cosinus kąta 45º, których wartość odnajdujesz w tabeli funkcji trygonometrycznych. Cosinus to stosunek długości promienia do długości tworzącej, natomiast sinus to stosunek wysokości stożka do tworzącej.
Zadanie 1.8.
16Zadanie 1.11.
17Zadanie 1.13.
17Zadanie Prosto do matury 5.
18Zadanie 2.1.
24Zadanie 2.5.
24Zadanie 2.8.
25Zadanie 2.9.
25Zadanie 2.11.
25Zadanie 2.12.
25Zadanie 2.13.
26Zadanie 2.14.
26Zadanie 2.15.
26Zadanie 3.1.
30Zadanie 3.2.
31Zadanie 3.3.
31Zadanie Prosto do matury 5.
33Zadanie 4.1.
42Zadanie 4.3.
42Zadanie 4.6.
42Zadanie 4.7.
42Zadanie 4.11.
42Zadanie 4.14.
43Zadanie 4.17.
43Zadanie 5.1.
56Zadanie 5.2.
56Zadanie 5.3.
56Zadanie 5.6.
56Zadanie 5.10.
57Zadanie 5.17.
57Zadanie 5.23.
58Zadanie 6.2.
69Zadanie 6.3.
69Zadanie 6.4.
69Zadanie 6.7.
69Zadanie 6.11.
69Zadanie 6.12.
69Zadanie 7.10.
82Zadanie 37.
90