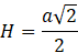
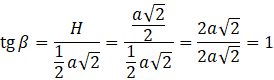
Masz do czynienia z ostrosłupem prawidłowym czworokątnym, w którego podstawie znajduje się kwadrat o boku
Aby zrozumieć rozwiązanie zadania, kieruj się oznaczeniami na rysunkach. W poprzednich podpunktach wyznaczyłeś wysokość ostrosłupa oraz kąt nachylenia ściany bocznej do podstawy. Aby wyznaczyć kąt nachylenia krawędzi bocznej, skorzystaj z funkcji tangens. Zauważ, że jedną z krawędzi trójkąta jest połowa przekątnej podstawy. W tabeli z wartościami trygonometrycznymi sprawdzasz, dla jakiej wartości kąta tangens przyjmuje wyznaczoną wartość.
Zadanie 1.8.
16Zadanie 1.11.
17Zadanie 1.13.
17Zadanie Prosto do matury 5.
18Zadanie 2.1.
24Zadanie 2.5.
24Zadanie 2.8.
25Zadanie 2.9.
25Zadanie 2.11.
25Zadanie 2.12.
25Zadanie 2.13.
26Zadanie 2.14.
26Zadanie 2.15.
26Zadanie 3.1.
30Zadanie 3.2.
31Zadanie 3.3.
31Zadanie Prosto do matury 5.
33Zadanie 4.1.
42Zadanie 4.3.
42Zadanie 4.6.
42Zadanie 4.7.
42Zadanie 4.11.
42Zadanie 4.14.
43Zadanie 4.17.
43Zadanie 5.1.
56Zadanie 5.2.
56Zadanie 5.3.
56Zadanie 5.6.
56Zadanie 5.10.
57Zadanie 5.17.
57Zadanie 5.23.
58Zadanie 6.2.
69Zadanie 6.3.
69Zadanie 6.4.
69Zadanie 6.7.
69Zadanie 6.11.
69Zadanie 6.12.
69Zadanie 7.10.
82Zadanie 37.
90