Masz podany prostopadłościan, który w podstawie ma kwadrat o boku 6 cm. Jego wysokość wynosi 9 cm. Przecięto go płaszczyzną, która zawiera przekątną podstawy oraz która przechodzi przez jeden z wierzchołków drugiej podstawy. Twoim zadaniem jest obliczyć pole tego przekroju, przy czym masz uwzględnić wszystkie możliwe opcje.
Pierwsza możliwość:
Druga możliwość:
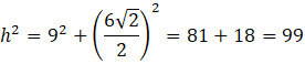
Masz dwie możliwości: przekrój jest trójkątem lub prostokątem. Jeśli przekrój jest trójkątem: podstawa tego trójkąta to przekątna podstawy prostopadłościanu, natomiast jego wysokość możesz obliczyć, wykorzystując twierdzenie Pitagorasa dla trójkąta
Zadanie 1.8.
16Zadanie 1.11.
17Zadanie 1.13.
17Zadanie Prosto do matury 5.
18Zadanie 2.1.
24Zadanie 2.5.
24Zadanie 2.8.
25Zadanie 2.9.
25Zadanie 2.11.
25Zadanie 2.12.
25Zadanie 2.13.
26Zadanie 2.14.
26Zadanie 2.15.
26Zadanie 3.1.
30Zadanie 3.2.
31Zadanie 3.3.
31Zadanie Prosto do matury 5.
33Zadanie 4.1.
42Zadanie 4.3.
42Zadanie 4.6.
42Zadanie 4.7.
42Zadanie 4.11.
42Zadanie 4.14.
43Zadanie 4.17.
43Zadanie 5.1.
56Zadanie 5.2.
56Zadanie 5.3.
56Zadanie 5.6.
56Zadanie 5.10.
57Zadanie 5.17.
57Zadanie 5.23.
58Zadanie 6.2.
69Zadanie 6.3.
69Zadanie 6.4.
69Zadanie 6.7.
69Zadanie 6.11.
69Zadanie 6.12.
69Zadanie 7.10.
82Zadanie 37.
90