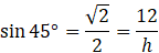
Oblicz długość krawędzi ostrosłupa prawidłowego czworokątnego, którego ściana boczna ma wysokość 12 cm i jest ona nachylona do powierzchni podstawy pod kątem 45º.
Krawędź podstawy:
Krawędź boczna:
Po narysowaniu ostrosłupa zaznacz szukane wielkości i wykorzystaj właściwości funkcji trygonometrycznych sinus i cosinus. Za pomocą funkcji sinus wyznaczasz wysokość ściany bocznej, natomiast za pomocą funkcji cosinus wyznaczasz
Zadanie 1.8.
16Zadanie 1.11.
17Zadanie 1.13.
17Zadanie Prosto do matury 5.
18Zadanie 2.1.
24Zadanie 2.5.
24Zadanie 2.8.
25Zadanie 2.9.
25Zadanie 2.11.
25Zadanie 2.12.
25Zadanie 2.13.
26Zadanie 2.14.
26Zadanie 2.15.
26Zadanie 3.1.
30Zadanie 3.2.
31Zadanie 3.3.
31Zadanie Prosto do matury 5.
33Zadanie 4.1.
42Zadanie 4.3.
42Zadanie 4.6.
42Zadanie 4.7.
42Zadanie 4.11.
42Zadanie 4.14.
43Zadanie 4.17.
43Zadanie 5.1.
56Zadanie 5.2.
56Zadanie 5.3.
56Zadanie 5.6.
56Zadanie 5.10.
57Zadanie 5.17.
57Zadanie 5.23.
58Zadanie 6.2.
69Zadanie 6.3.
69Zadanie 6.4.
69Zadanie 6.7.
69Zadanie 6.11.
69Zadanie 6.12.
69Zadanie 7.10.
82Zadanie 37.
90