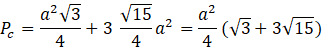
Masz obliczyć objętość oraz pole powierzchni całkowitej ostrosłupa, w której krawędź boczna jest dwa razy dłuższa od krawędzi podstawy o boku
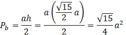
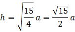
Wysokość ściany bocznej:
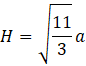
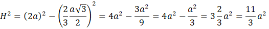
Wysokość ostrosłupa:
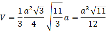
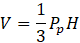
Objętość:
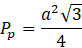
Pole powierzchni całkowitej:
Obliczenia wykonujesz na podstawie rysunku:
Najpierw wyznaczasz wysokość ściany bocznej h – wykorzystujesz twierdzenie Pitagorasa. Następnie potrzebujesz też znaleźć wysokość całego ostrosłupa – ponownie korzystasz z twierdzenia Pitagorasa przy czym zauważ, że jedna z przyprostokątnych trójkąta prostokątnego (na rysunku zaznaczony zielonym kolorem) to
Zadanie 1.8.
16Zadanie 1.11.
17Zadanie 1.13.
17Zadanie Prosto do matury 5.
18Zadanie 2.1.
24Zadanie 2.5.
24Zadanie 2.8.
25Zadanie 2.9.
25Zadanie 2.11.
25Zadanie 2.12.
25Zadanie 2.13.
26Zadanie 2.14.
26Zadanie 2.15.
26Zadanie 3.1.
30Zadanie 3.2.
31Zadanie 3.3.
31Zadanie Prosto do matury 5.
33Zadanie 4.1.
42Zadanie 4.3.
42Zadanie 4.6.
42Zadanie 4.7.
42Zadanie 4.11.
42Zadanie 4.14.
43Zadanie 4.17.
43Zadanie 5.1.
56Zadanie 5.2.
56Zadanie 5.3.
56Zadanie 5.6.
56Zadanie 5.10.
57Zadanie 5.17.
57Zadanie 5.23.
58Zadanie 6.2.
69Zadanie 6.3.
69Zadanie 6.4.
69Zadanie 6.7.
69Zadanie 6.11.
69Zadanie 6.12.
69Zadanie 7.10.
82Zadanie 37.
90