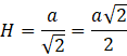
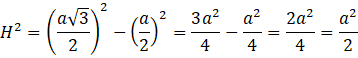
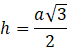
Masz do czynienia z ostrosłupem prawidłowym czworokątnym, w którego podstawie znajduje się kwadrat o boku
Aby zrozumieć rozwiązanie zadania, kieruj się oznaczeniami na rysunkach. Wysokość ściany bocznej to wysokość trójkąta równobocznego. Wysokość całego ostrosłupa wyznaczasz, korzystając z twierdzenia Pitagorasa. Przyprostokątnymi trójkąta jest szykana wysokość i połowa podstawy ostrosłupa, a przeciwprostokątna to znaleziona wcześniej wysokość ściany bocznej.
Zadanie 1.8.
16Zadanie 1.11.
17Zadanie 1.13.
17Zadanie Prosto do matury 5.
18Zadanie 2.1.
24Zadanie 2.5.
24Zadanie 2.8.
25Zadanie 2.9.
25Zadanie 2.11.
25Zadanie 2.12.
25Zadanie 2.13.
26Zadanie 2.14.
26Zadanie 2.15.
26Zadanie 3.1.
30Zadanie 3.2.
31Zadanie 3.3.
31Zadanie Prosto do matury 5.
33Zadanie 4.1.
42Zadanie 4.3.
42Zadanie 4.6.
42Zadanie 4.7.
42Zadanie 4.11.
42Zadanie 4.14.
43Zadanie 4.17.
43Zadanie 5.1.
56Zadanie 5.2.
56Zadanie 5.3.
56Zadanie 5.6.
56Zadanie 5.10.
57Zadanie 5.17.
57Zadanie 5.23.
58Zadanie 6.2.
69Zadanie 6.3.
69Zadanie 6.4.
69Zadanie 6.7.
69Zadanie 6.11.
69Zadanie 6.12.
69Zadanie 7.10.
82Zadanie 37.
90