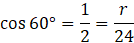
Masz podane, że tworząca stożka ma 24 cm oraz kąt α, który jest kątem nachylenia tworzącej do podstawy. Oblicz promień podstawy stożka oraz wysokość
Obliczenie promienia podstawy:
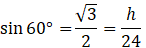
Obliczenie wysokości walca:
Obliczenia wykonujesz na podstawie podanego rysunku w rozwiązaniu. W treści podano, że kąt α wynosi 60º. Wykorzystujesz zatem funkcję sinus i cosinus kąta 60º, których wartość odnajdujesz w tabeli funkcji trygonometrycznych. Cosinus to stosunek długości promienia do długości tworzącej, natomiast sinus to stosunek wysokości stożka do tworzącej.
Zadanie 1.8.
16Zadanie 1.11.
17Zadanie 1.13.
17Zadanie Prosto do matury 5.
18Zadanie 2.1.
24Zadanie 2.5.
24Zadanie 2.8.
25Zadanie 2.9.
25Zadanie 2.11.
25Zadanie 2.12.
25Zadanie 2.13.
26Zadanie 2.14.
26Zadanie 2.15.
26Zadanie 3.1.
30Zadanie 3.2.
31Zadanie 3.3.
31Zadanie Prosto do matury 5.
33Zadanie 4.1.
42Zadanie 4.3.
42Zadanie 4.6.
42Zadanie 4.7.
42Zadanie 4.11.
42Zadanie 4.14.
43Zadanie 4.17.
43Zadanie 5.1.
56Zadanie 5.2.
56Zadanie 5.3.
56Zadanie 5.6.
56Zadanie 5.10.
57Zadanie 5.17.
57Zadanie 5.23.
58Zadanie 6.2.
69Zadanie 6.3.
69Zadanie 6.4.
69Zadanie 6.7.
69Zadanie 6.11.
69Zadanie 6.12.
69Zadanie 7.10.
82Zadanie 37.
90