Oceń poprawność zdań na temat sześcianu.
A. Wielościan T jest czworościanem foremnym.
B. Objętość wielościanu T jest równa
C. Pole powierzchni wielościanu T jest równe
A. Zdanie jest prawdziwe.
B. Zdanie jest fałszywe.
C. Zdanie jest prawdziwe.
Wielościan jest foremny, ponieważ wszystkie jego krawędzie są takiej samej długości. Każda jego krawędź ma długość
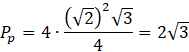
Pole powierzchni:
Wysokość:
Objętość:
Zadanie 1.8.
16Zadanie 1.11.
17Zadanie 1.13.
17Zadanie Prosto do matury 5.
18Zadanie 2.1.
24Zadanie 2.5.
24Zadanie 2.8.
25Zadanie 2.9.
25Zadanie 2.11.
25Zadanie 2.12.
25Zadanie 2.13.
26Zadanie 2.14.
26Zadanie 2.15.
26Zadanie 3.1.
30Zadanie 3.2.
31Zadanie 3.3.
31Zadanie Prosto do matury 5.
33Zadanie 4.1.
42Zadanie 4.3.
42Zadanie 4.6.
42Zadanie 4.7.
42Zadanie 4.11.
42Zadanie 4.14.
43Zadanie 4.17.
43Zadanie 5.1.
56Zadanie 5.2.
56Zadanie 5.3.
56Zadanie 5.6.
56Zadanie 5.10.
57Zadanie 5.17.
57Zadanie 5.23.
58Zadanie 6.2.
69Zadanie 6.3.
69Zadanie 6.4.
69Zadanie 6.7.
69Zadanie 6.11.
69Zadanie 6.12.
69Zadanie 7.10.
82Zadanie 37.
90