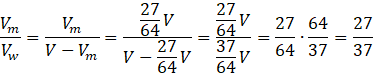
Pewna płaszczyzna w ostrosłupie prawidłowym czworokątnym jest równoległa do podstawy i podzieliła wysokość ostrosłupa w stosunki 3 : 1, kolejno od wierzchołka. Twoim zadaniem jest wyznaczenie stosunku objętości brył, na które podana płaszczyzna podzieliła ostrosłup.
Mniejszy ostrosłup jest podobny do całego ostrosłupa w określonej skali:
W zadaniu tym wykorzystujesz skalę podobieństwa figur oraz zależność, zgodnie z którą stosunek objętości figur, które są do siebie podobne, jest sześcianem skali podobieństwa.
Zadanie 1.8.
16Zadanie 1.11.
17Zadanie 1.13.
17Zadanie Prosto do matury 5.
18Zadanie 2.1.
24Zadanie 2.5.
24Zadanie 2.8.
25Zadanie 2.9.
25Zadanie 2.11.
25Zadanie 2.12.
25Zadanie 2.13.
26Zadanie 2.14.
26Zadanie 2.15.
26Zadanie 3.1.
30Zadanie 3.2.
31Zadanie 3.3.
31Zadanie Prosto do matury 5.
33Zadanie 4.1.
42Zadanie 4.3.
42Zadanie 4.6.
42Zadanie 4.7.
42Zadanie 4.11.
42Zadanie 4.14.
43Zadanie 4.17.
43Zadanie 5.1.
56Zadanie 5.2.
56Zadanie 5.3.
56Zadanie 5.6.
56Zadanie 5.10.
57Zadanie 5.17.
57Zadanie 5.23.
58Zadanie 6.2.
69Zadanie 6.3.
69Zadanie 6.4.
69Zadanie 6.7.
69Zadanie 6.11.
69Zadanie 6.12.
69Zadanie 7.10.
82Zadanie 37.
90