Oblicz promień dolnej i górnej podstawy oraz wysokość ściętego stożka, który powstał poprzez obrót trapezu równoramiennego wokół jego osi symetrii. W trapezie tym 𝐴𝐵 || 𝐷𝐶 oraz 𝐵𝐷⟂𝐴𝐷. Wiadomo również, że |𝐴𝐷| = 5 oraz kąt 𝐴𝐵𝐷 ma 30°.
Promienie:
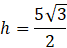
Wysokość:
Obliczenia wykonano na podstawie rysunku podanego w rozwiązaniu. Przekątna trapezu równoramiennego wraz z jego podstawą i ramieniem tworzy kąt prostokątny, którego jeden z kątów ostrych ma 30º. Krótsza podstawa jest zatem dwukrotnie mniejsza od dłuższej podstawy. Skupiasz się na tym trójkącie prostokątnym – wyznaczając jego przyprostokątne, wyznaczysz szukane promienie i wysokość. Przyprostokątne wyznaczasz z funkcji sinus i cosinus dla kąta 30º. Zauważ, że wysokość trapezu jest jednocześnie jeną z przyprostokątnych trójkąta prostokątnego o przeciwprostokątnej, która jest ramieniem trapezu. Wysokość wyznaczasz zatem z funkcji sinus.
Zadanie 1.8.
16Zadanie 1.11.
17Zadanie 1.13.
17Zadanie Prosto do matury 5.
18Zadanie 2.1.
24Zadanie 2.5.
24Zadanie 2.8.
25Zadanie 2.9.
25Zadanie 2.11.
25Zadanie 2.12.
25Zadanie 2.13.
26Zadanie 2.14.
26Zadanie 2.15.
26Zadanie 3.1.
30Zadanie 3.2.
31Zadanie 3.3.
31Zadanie Prosto do matury 5.
33Zadanie 4.1.
42Zadanie 4.3.
42Zadanie 4.6.
42Zadanie 4.7.
42Zadanie 4.11.
42Zadanie 4.14.
43Zadanie 4.17.
43Zadanie 5.1.
56Zadanie 5.2.
56Zadanie 5.3.
56Zadanie 5.6.
56Zadanie 5.10.
57Zadanie 5.17.
57Zadanie 5.23.
58Zadanie 6.2.
69Zadanie 6.3.
69Zadanie 6.4.
69Zadanie 6.7.
69Zadanie 6.11.
69Zadanie 6.12.
69Zadanie 7.10.
82Zadanie 37.
90