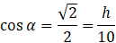
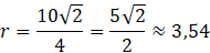
Tworząca walca i przekątna tworzą pewien kąt 𝛼. Przekątna tego przekroju ma długość 10. Twoim zadaniem jest obliczenie promienia i wysokości walca.
Wyznaczenie wysokości:
Wyznaczenie promienia:
Obliczenia wykonujesz na podstawie podanego rysunku:
W podpunkcie tym masz podane, że kąt α wynosi 45º. Wysokość walca wyznaczysz wykorzystując funkcję cosinus, natomiast podwójną długość promienia wyznaczysz z funkcji sinus.
Zadanie 1.8.
16Zadanie 1.11.
17Zadanie 1.13.
17Zadanie Prosto do matury 5.
18Zadanie 2.1.
24Zadanie 2.5.
24Zadanie 2.8.
25Zadanie 2.9.
25Zadanie 2.11.
25Zadanie 2.12.
25Zadanie 2.13.
26Zadanie 2.14.
26Zadanie 2.15.
26Zadanie 3.1.
30Zadanie 3.2.
31Zadanie 3.3.
31Zadanie Prosto do matury 5.
33Zadanie 4.1.
42Zadanie 4.3.
42Zadanie 4.6.
42Zadanie 4.7.
42Zadanie 4.11.
42Zadanie 4.14.
43Zadanie 4.17.
43Zadanie 5.1.
56Zadanie 5.2.
56Zadanie 5.3.
56Zadanie 5.6.
56Zadanie 5.10.
57Zadanie 5.17.
57Zadanie 5.23.
58Zadanie 6.2.
69Zadanie 6.3.
69Zadanie 6.4.
69Zadanie 6.7.
69Zadanie 6.11.
69Zadanie 6.12.
69Zadanie 7.10.
82Zadanie 37.
90