Wyznacz pole powierzchni graniastosłupa prawidłowego trójkątnego, w którym krawędź boczna jest równa krawędzi podstawy, a jego objętość to 16√3 cm3.
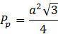
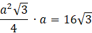
Wyznaczenie krawędzi podstawy:
Wyznaczenie pola powierzchni:
Zwróć uwagę, że w podstawie tego graniastosłupa znajduje się trójkąt równoboczny, a jego ściany to trzy kwadraty. Najpierw wyznaczasz, ile wynosi wartość krawędzi podstawy znając objętość graniastosłupa. Długość krawędzi nie może być ujemna. Znając długość krawędzi możesz obliczyć pole podstawy, czyli trójkąta równobocznego oraz pole boczne. Wartości te posłużą do wyznaczenia powierzchni całkowitej graniastosłupa.
Zadanie 1.8.
16Zadanie 1.11.
17Zadanie 1.13.
17Zadanie Prosto do matury 5.
18Zadanie 2.1.
24Zadanie 2.5.
24Zadanie 2.8.
25Zadanie 2.9.
25Zadanie 2.11.
25Zadanie 2.12.
25Zadanie 2.13.
26Zadanie 2.14.
26Zadanie 2.15.
26Zadanie 3.1.
30Zadanie 3.2.
31Zadanie 3.3.
31Zadanie Prosto do matury 5.
33Zadanie 4.1.
42Zadanie 4.3.
42Zadanie 4.6.
42Zadanie 4.7.
42Zadanie 4.11.
42Zadanie 4.14.
43Zadanie 4.17.
43Zadanie 5.1.
56Zadanie 5.2.
56Zadanie 5.3.
56Zadanie 5.6.
56Zadanie 5.10.
57Zadanie 5.17.
57Zadanie 5.23.
58Zadanie 6.2.
69Zadanie 6.3.
69Zadanie 6.4.
69Zadanie 6.7.
69Zadanie 6.11.
69Zadanie 6.12.
69Zadanie 7.10.
82Zadanie 37.
90