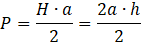
W ostrosłupie prawidłowym trójkątnym krawędź boczna jest dwukrotnie dłuższa od krawędzi podstawy. Twoim zadaniem jest obliczenie cosinusa kąta pomiędzy dwoma, sąsiadującymi ze sobą ścianami bocznymi ostrosłupa.
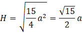
Wyznaczenie wysokości ściany bocznej
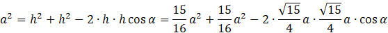
Wyznaczenie drugiej wysokości
Twierdzenie cosinusów:
Na rysunku przedstawiono sytuację opisaną w zadaniu. Wyodrębniono również ścianę boczną tego ostrosłupa. Najpierw korzystasz z twierdzenia Pitagorasa, aby wyznaczyć wysokość ściany bocznej
Zadanie 1.8.
16Zadanie 1.11.
17Zadanie 1.13.
17Zadanie Prosto do matury 5.
18Zadanie 2.1.
24Zadanie 2.5.
24Zadanie 2.8.
25Zadanie 2.9.
25Zadanie 2.11.
25Zadanie 2.12.
25Zadanie 2.13.
26Zadanie 2.14.
26Zadanie 2.15.
26Zadanie 3.1.
30Zadanie 3.2.
31Zadanie 3.3.
31Zadanie Prosto do matury 5.
33Zadanie 4.1.
42Zadanie 4.3.
42Zadanie 4.6.
42Zadanie 4.7.
42Zadanie 4.11.
42Zadanie 4.14.
43Zadanie 4.17.
43Zadanie 5.1.
56Zadanie 5.2.
56Zadanie 5.3.
56Zadanie 5.6.
56Zadanie 5.10.
57Zadanie 5.17.
57Zadanie 5.23.
58Zadanie 6.2.
69Zadanie 6.3.
69Zadanie 6.4.
69Zadanie 6.7.
69Zadanie 6.11.
69Zadanie 6.12.
69Zadanie 7.10.
82Zadanie 37.
90