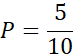
1. pojemnik:
Ω = 10 {0, 1, 2, 3, 4, 5, 6, 7, 8, 9}
W tym liczby parzyste: 5 {0, 2, 4, 6, 8}
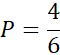
2. pojemnik:
Ω = 6 {a, b, c, d, e, f}
W tym spółgłoski: 4 {b, c, d, f}
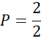
3. pojemnik:
Ω = 2
Możliwe wyniki: 2 {czarna, biała}
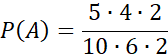
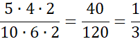
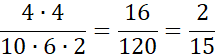
Zwróć uwagę na to ile jest zdarzeń możliwych i ile sprzyjających. Zdarzenia możliwe uzyskasz z reguły mnożenia zdarzeń możliwych: liczba kul z cyframi 10 · liczba kul z literami 6 · kule z kolorami 2. Zdarzenia sprzyjające uzyskasz z reguły mnożenia: kula z liczbą parzystą 5 · kula ze spółgłoską 4 · kula kolorowa 2.