Podaj prawdopodobieństwo zdarzenia, otrzymania liczby nieparzystej, jeśli tworzymy liczbę trzycyfrową spośród cyfr 7, 8, 9 w dowolnej kolejności.
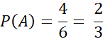
Ω = {789, 798, 879, 897, 978, 987}
A= {789, 879, 897, 987}
Zdarzeń możliwych jest 6, natomiast zdarzenia sprzyjające mamy 4.
Zadanie 1.
Zadanie 2.
Zadanie 3.
Zadanie 4.
Zadanie 5.
Podpunkt a)
Podpunkt b)
Zadanie 6.
Zadanie 7.
Podpunkt c)
Zadanie 8.
Zadanie 9.
Zadanie 10.
Zadanie 11.
Zadanie 12.
Zadanie 13.
Zadanie 14.
Zadanie 15.
Ćwiczenie Wyzwanie 1.
Ćwiczenie Sprawdź się! 1.
Ćwiczenie Sprawdź się! 2.
Ćwiczenie Sprawdź się! 3.
Ćwiczenie Sprawdź się! 4.
Ćwiczenie Sprawdź się! 5.
Podpunkt d)
Zadanie Wyzwanie 1.
Zadanie Sprawdź się! 1.
Zadanie Sprawdź się! 2.
Zadanie Sprawdź się! 3.
Zadanie Sprawdź się! 4.
Zadanie Sprawdź się! 5.
Zadanie 16.