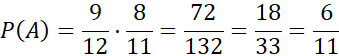
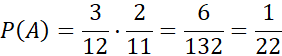
Ω = 9 + 3 = 12 jaj
A = 9 jaj z wolnego wybiegu
Ω = 9 + 3 = 12 jaj
A = 3 jaja z chowu ściółkowego
Zwróć uwagę, że wszystkich możliwych zdarzeń jest 12: 9 jaj od kur z wolnego wybiegu + 3 od kur z chowu ściółkowego. Z definicji prawdopodobieństwa wynika, że w liczniku jest liczba zdarzeń sprzyjających, a w mianowniku wszystkich możliwych. Pamiętaj, że losujemy dwa jaja, więc przy wyborze drugiego liczba jajek zmniejsza się o jedną sztukę.