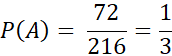
Ω = 6 · 6 · 6 = 216
zdarzenia sprzyjające:
A = {(1, 1, 1), (1, 2, 3) · 6, (1, 2, 6) · 6, (1, 3, 5) · 6, (1, 4, 4) · 3, (2, 2, 2), (2, 2, 5) · 3, (2, 3, 4) · 6, (3, 3, 3), (3, 4, 5) · 6, (4, 4, 4), (5, 5, 5), (3, 6, 3) · 3, (4, 1, 1) · 3, (4, 6, 2) · 6, (5, 1, 6) · 6, (5, 5, 2) · 3, (6, 6, 6), (6, 6, 3) · 3, (6, 5, 4) · 6} = 72
Zwróć uwagę, że losujemy ze zwracaniem, z zasady podzielności przez 3 wiemy, że suma cyfr liczby musi być podzielna przez 3. Zbiór A to zbiór wszystkich zdarzeń sprzyjających - takie mogą być zestawy cyfr, ale pamiętaj, że mogą one być wylosowane w różnych kolejnościach.