Doświadczenie losowe polega na losowaniu dwa razy po jednej liczbie ze zwracaniem spośród liczb naturalnych większych od 1 i mniejszych od 9. Podaj prawdopodobieństwo zdarzenia, że pierwsza liczba jest o 3 mniejsza od drugiej lub o 4 większa.
{2, 3, 4, 5, 6, 7, 8}
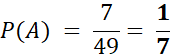
Ω = 7 · 7 = 49
A = {(2, 5), (3, 6), (4, 7), (5, 8), (8, 4), (7, 3), (6, 2)} = 7
Zwróć uwagę, że losujemy ze zwracaniem, a liczby większe od 1 i mniejsze od 9 to: {2, 3, 4, 5, 6, 7, 8}.
Zadanie 1.
Zadanie 2.
Zadanie 3.
Zadanie 4.
Zadanie 5.
Podpunkt a)
Podpunkt b)
Zadanie 6.
Zadanie 7.
Podpunkt c)
Zadanie 8.
Zadanie 9.
Zadanie 10.
Zadanie 11.
Zadanie 12.
Zadanie 13.
Zadanie 14.
Zadanie 15.
Ćwiczenie Wyzwanie 1.
Ćwiczenie Sprawdź się! 1.
Ćwiczenie Sprawdź się! 2.
Ćwiczenie Sprawdź się! 3.
Ćwiczenie Sprawdź się! 4.
Ćwiczenie Sprawdź się! 5.
Podpunkt d)
Zadanie Wyzwanie 1.
Zadanie Sprawdź się! 1.
Zadanie Sprawdź się! 2.
Zadanie Sprawdź się! 3.
Zadanie Sprawdź się! 4.
Zadanie Sprawdź się! 5.
Zadanie 16.