Podaj prawdopodobieństwo zdarzenia, że na miejscu cyfry dziesiątek jest liczba 9, jeśli tworzymy liczbę trzycyfrową spośród cyfr 7, 8, 9 w dowolnej kolejności.
Rozwiązanie
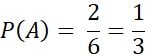
Ω = {789, 798, 879, 897, 978, 987}
A= {798, 897}
Wyjaśnienie
Zdarzeń możliwych jest 6, natomiast zdarzenia sprzyjające mamy 2.