Wybierz ile wynosi prawdopodobieństwo zdarzenia otrzymania co najmniej jednego orła przy dwukrotnym rzucie monetą.
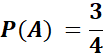
{(O, O), (R, R), (R, O), (O, R)}
Ω = 4
A = 3
Liczba wszystkich możliwych zdarzeń to 4, zdarzenia sprzyjające są 3.
Zadanie 1.
Zadanie 2.
Zadanie 3.
Zadanie 4.
Zadanie 5.
Podpunkt a)
Podpunkt b)
Zadanie 6.
Zadanie 7.
Podpunkt c)
Zadanie 8.
Zadanie 9.
Zadanie 10.
Zadanie 11.
Zadanie 12.
Zadanie 13.
Zadanie 14.
Zadanie 15.
Ćwiczenie Wyzwanie 1.
Ćwiczenie Sprawdź się! 1.
Ćwiczenie Sprawdź się! 2.
Ćwiczenie Sprawdź się! 3.
Ćwiczenie Sprawdź się! 4.
Ćwiczenie Sprawdź się! 5.
Podpunkt d)
Zadanie Wyzwanie 1.
Zadanie Sprawdź się! 1.
Zadanie Sprawdź się! 2.
Zadanie Sprawdź się! 3.
Zadanie Sprawdź się! 4.
Zadanie Sprawdź się! 5.
Zadanie 16.