Zadanie

Oblicz prawdopodobieństwo zdarzenia, które polega na wylosowaniu jednej liczby ze zbioru liczb czterocyfrowych takiej, że ma różne cyfry, a 1, 2 i 3 stoją obok siebie w kolejności rosnącej.

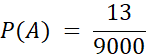
Rozwiązanie

Wyjaśnienie

Zadania z tego działu
Kombinatoryka i rachunek prawdopodobieństwa
301