Zadanie

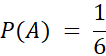
Rzucamy trzy razy sześcienną kostką do gry, a wyrzucone cyfry zapisujemy kolejno tworząc liczby trzycyfrowe, zaczynając od setek. Podaj jakie jest prawdopodobieństwo zdarzenia, które polega na tym, że utworzona liczba trzycyfrowa jest liczbą podzielną przez 5.

Rozwiązanie

Wyjaśnienie

Zadania z tego działu
Kombinatoryka i rachunek prawdopodobieństwa
301