Zadanie

Wskaż prawdopodobieństwo otrzymania co najmniej dwóch reszek, jeśli zdarzenie polega na trzykrotnym rzucie monetą. Przedstaw doświadczenie za pomocą drzewa i zapisz zbiór zdarzeń elementarnych.

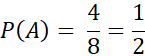
Rozwiązanie

Wyjaśnienie

Zadania z tego działu
Kombinatoryka i rachunek prawdopodobieństwa
301