x – liczba dołożonych cukierków czekoladowych
Ilość cukierków po dołożeniu czekoladowych: 14 + 16 + x = 30 + x
Prawdopodobieństwo wylosowania toffi:
336 = 8x + 240 / -240
8x = 96 / : 8
x = 12
ilość wszystkich cukierków: 30 + x = 42
Prawdopodobieństwo wylosowania owocowego:
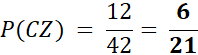
Prawdopodobieństwo wylosowania czekoladowego:
Odp.: Z największym prawdopodobieństwem wylosujemy toffi, a z najmniejszym czekoladowy. Dołożono 12 cukierków czekoladowych.
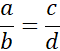
Przedstaw prawdopodobieństwo wylosowania cukierka toffi jako ułamek, którego mianownik to równanie uwzględniające dołożone cukierki czekoladowe jako 30 + x. Pozwoli to obliczyć ich ilość poprzez zastosowanie tzw. sposobu mnożenia na krzyż:
ad = bc