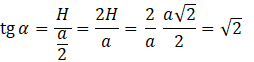
Masz do czynienia z ostrosłupem prawidłowym czworokątnym, w którego podstawie znajduje się kwadrat o boku
Aby zrozumieć rozwiązanie zadania, kieruj się oznaczeniami na rysunkach. Wysokość ostrosłupa została wyznaczona w poprzednim podpunkcie. Kąt nachylenia możesz obliczyć wyznaczając wartość tangensa tego kąta, który jest stosunkiem wysokości ostrosłupa to połowy długości podstawy. W tabeli z wartościami trygonometrycznymi sprawdzasz, dla jakiej wartości kąta tangens przyjmuje wyznaczoną wartość.
Zadanie 1.8.
16Zadanie 1.11.
17Zadanie 1.13.
17Zadanie Prosto do matury 5.
18Zadanie 2.1.
24Zadanie 2.5.
24Zadanie 2.8.
25Zadanie 2.9.
25Zadanie 2.11.
25Zadanie 2.12.
25Zadanie 2.13.
26Zadanie 2.14.
26Zadanie 2.15.
26Zadanie 3.1.
30Zadanie 3.2.
31Zadanie 3.3.
31Zadanie Prosto do matury 5.
33Zadanie 4.1.
42Zadanie 4.3.
42Zadanie 4.6.
42Zadanie 4.7.
42Zadanie 4.11.
42Zadanie 4.14.
43Zadanie 4.17.
43Zadanie 5.1.
56Zadanie 5.2.
56Zadanie 5.3.
56Zadanie 5.6.
56Zadanie 5.10.
57Zadanie 5.17.
57Zadanie 5.23.
58Zadanie 6.2.
69Zadanie 6.3.
69Zadanie 6.4.
69Zadanie 6.7.
69Zadanie 6.11.
69Zadanie 6.12.
69Zadanie 7.10.
82Zadanie 37.
90