Wyznacz pole powierzchni bocznej oraz objętość ostrosłupa prawidłowego trójkątnego o krawędzi podstawy długości
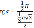
Wysokość ostrosłupa:
Objętość ostrosłupa:
Wysokość ściany bocznej:
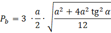
Pole powierzchni bocznej:
Obliczenia wykonujesz na podstawie rysunku. Najpierw wyznaczasz wysokość ostrosłupa, korzystając z funkcji tangens: jest to stosunek połowy wysokości ostrosłupa do jednej trzeciej wysokości podstawy ostrosłupa. Wysokość ta posłuży do wyznaczenia objętości. Aby znaleźć pole powierzchni bocznej, która jest trójkątem, najpierw musisz znaleźć jej wysokość. Wykorzystaj w tym celu twierdzenie Pitagorasa.
Zadanie 1.8.
16Zadanie 1.11.
17Zadanie 1.13.
17Zadanie Prosto do matury 5.
18Zadanie 2.1.
24Zadanie 2.5.
24Zadanie 2.8.
25Zadanie 2.9.
25Zadanie 2.11.
25Zadanie 2.12.
25Zadanie 2.13.
26Zadanie 2.14.
26Zadanie 2.15.
26Zadanie 3.1.
30Zadanie 3.2.
31Zadanie 3.3.
31Zadanie Prosto do matury 5.
33Zadanie 4.1.
42Zadanie 4.3.
42Zadanie 4.6.
42Zadanie 4.7.
42Zadanie 4.11.
42Zadanie 4.14.
43Zadanie 4.17.
43Zadanie 5.1.
56Zadanie 5.2.
56Zadanie 5.3.
56Zadanie 5.6.
56Zadanie 5.10.
57Zadanie 5.17.
57Zadanie 5.23.
58Zadanie 6.2.
69Zadanie 6.3.
69Zadanie 6.4.
69Zadanie 6.7.
69Zadanie 6.11.
69Zadanie 6.12.
69Zadanie 7.10.
82Zadanie 37.
90