Skul.pl
  • Opracowania zadań z podręczników
  • Matematyka. Klasa 7. Zeszyt ćwiczeń - rozwiązania i odpowiedzi
  • Zadanie 1.

Matematyka. Klasa 7. Zeszyt ćwiczeń - rozwiązania i odpowiedzi

Zeszyt ćwiczeń, Wydawnictwo: WSiP
Poprzednie

Zadanie 1. - strona 23

Następne

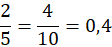
Zadanie

jest równe:

A. 20%

B. 25%

C. 30%

D. 40%

Rozwiązanie

D.

Skul

Wyjaśnienie

Żebyś mógł zamienić, liczby na procent przekształć ją na ułamek dziesiętny i pomnóż ten ułamka przez 100.

Następne

Matematyka - wybrane pytania

Zadanie 12, strona 14, Matematyka z kluczem. Klasa 5. Podręcznik. Część 2 – rozwiązania i odpowiedzi
Zadanie 2, strona 137, Matematyka z kluczem. Klasa 5. Podręcznik. Część 1 - rozwiązania i odpowiedzi
Zadanie 7., strona 283, MATeMAtyka. Klasa 3. Podręcznik. Zakres podstawowy i rozszerzony – rozwiązania i odpowiedzi
Zadanie 18., strona 246, MATeMAtyka. Klasa 1. Zbiór Zadań. Zakres podstawowy i rozszerzony – rozwiązania i odpowiedzi
Zadanie Super zagadka, strona 39, Matematyka z plusem. Klasa 4. Podręcznik - rozwiązania i odpowiedzi
Ćwiczenie 1., strona 41, Matematyka z plusem. Klasa 6. Zeszyt ćwiczeń. Wersja B. Część 1 - rozwiązania i odpowiedzi
Zadanie 8., strona 56, Matematyka z kluczem. Klasa 6. Zeszyt ćwiczeń – rozwiązania i odpowiedzi
Zadanie 2, strona 141, NOWA MATeMAtyka 1. Podręcznik. Zakres podstawowy
Przykład 2., strona 51, Matematyka z Plusem. Klasa 4. Podręcznik – rozwiązania i odpowiedzi
Ćwiczenie 5., strona 83, Matematyka z Plusem. Liczby naturalne i ułamki zwykłe. Klasa 5. Zeszyt ćwiczeń. Wersja A. Część 1/3 - rozwiązania i odpowiedzi
REKLAMA
Skul
Zadania z tego działu
2. Procenty
23
2.1. Ułamki i procenty
23

Zadanie 1.

23

Zadanie 2.

21

Podpunkt a)

21

Podpunkt b)

21

Podpunkt c)

21

Podpunkt d)

21

Podpunkt e)

21

Zadanie 3.

23

Zadanie 4.

24

Podpunkt a)

24

Podpunkt b)

24

Podpunkt c)

24

Zadanie 5.

24

Zadanie 6.

24

Zadanie 7.

24
2.2. Obliczanie procentu danej liczby
25

Zadanie 1.

25

Zadanie 2.

25

Podpunkt a)

25

Podpunkt b)

25

Podpunkt c)

25

Podpunkt d)

25

Podpunkt e)

25

Zadanie 3.

25

Zadanie 4.

25

Zadanie 5.

26

Zadanie 6.

26

Zadanie 7.

26

Zadanie 8.

26
2.3. Obliczanie jakim procentem liczby jest druga liczba
27

Zadanie 1.

27

Zadanie 2.

27

Zadanie 3.

27

Zadanie 4.

21

Podpunkt a)

21

Podpunkt b)

21

Podpunkt c)

21

Podpunkt d)

21

Zadanie 5.

28

Podpunkt a)

28

Podpunkt b)

28

Zadanie 6.

28

Zadanie 7.

28
2.4. Obliczanie liczby, gdy dany jest jej procent
29

Zadanie 1.

29

Zadanie 2.

29

Zadanie 3.

29

Podpunkt a)

29

Podpunkt b)

29

Podpunkt c)

29

Podpunkt d)

29

Podpunkt e)

29

Zadanie 4.

29

Podpunkt a)

29

Podpunkt b)

29

Podpunkt c)

29

Podpunkt d)

29

Zadanie 5.

30

Zadanie 6.

30

Zadanie 7.

30

Zadanie 8.

30
2.5. Obliczenia procentowe
31

Zadanie 1.

31

Zadanie 2.

31

Podpunkt a)

31

Podpunkt b)

31

Podpunkt c)

31

Zadanie 3.

31

Zadanie 4.

32

Podpunkt a)

32

Podpunkt b)

32

Zadanie 5.

32

Zadanie 6.

32

Zadanie 7.

33

Zadanie 8.

33
2.6. Diagramy procentowe
34

Zadanie 1.

34

Zadanie 2.

34

Zadanie 3.

35

Podpunkt a)

35

Podpunkt b)

35

Podpunkt c)

35

Zadanie 4.

35

Zadanie 5.

35

Zadanie 6.

36

Podpunkt a)

36

Podpunkt b)

36

Podpunkt c)

36
Pełny spis treści
Skul
Artboard 1
Skul.pl
  • Napisz do nas
  • FAQ
  • Mapa Serwisu
  • Google Play
  • App Store

Korzystanie z portalu oznacza akceptację Regulaminu.
Polityka prywatności. Ustawienia preferencji. Copyright: INTERIA.PL 1999-2023 Wszystkie prawa zastrzeżone.