Skul.pl
  • Opracowania zadań z podręczników
  • Matematyka. Klasa 7. Zeszyt ćwiczeń - rozwiązania i odpowiedzi
  • Zadanie 6.

Matematyka. Klasa 7. Zeszyt ćwiczeń - rozwiązania i odpowiedzi

Zeszyt ćwiczeń, Wydawnictwo: WSiP
Poprzednie

Zadanie 6. - strona 28

Następne

Zadanie

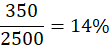
Laptop po obniżce kosztuje 2150 zł. O jaki procent została obniżona jego cena, jeśli przed promocją kosztował 2500 zł?

Rozwiązanie

2500 – 2150 = 350 zł

Skul

Wyjaśnienie

Żebyś mógł zamienić, liczby na procent przekształć ją na ułamek dziesiętny i pomnóż ten ułamek przez 100.

Poprzednie
Następne

Matematyka - wybrane pytania

Zadanie 27, strona 112, Matematyka z kluczem. Klasa 6. Zbiór zadań - rozwiązania i odpowiedzi
Zadanie 5., strona 46, Matematyka. Klasa 1. Podręcznik. Zakres podstawowy - rozwiązania i odpowiedzi
Zadanie 6.13, strona 385, Matematyka. Prosto do matury. Klasa 1. Zakres podstawowy i rozszerzony. Podręcznik - rozwiązania i odpowiedzi
Zadanie 27, strona 158, Teraz matura. Klasa 4. Zbiór zadań. Poziom podstawowy – rozwiązania i odpowiedzi
Zadanie wprowadzające 4., strona 101, Matematyka. Klasa 6. Podręcznik - rozwiązania i odpowiedzi
Ćwiczenie 13., strona 162, Matematyka wokół nas. Klasa 8. Podręcznik - rozwiązania i odpowiedzi
Zadanie wprowadzające 2., strona 120, Matematyka. Klasa 6. Podręcznik - rozwiązania i odpowiedzi
Ćwiczenie 2, strona 56, Matematyka. Klasa 7. Ćwiczenia - rozwiązania i odpowiedzi.
Ćwiczenie 5., strona 73, Matematyka wokół nas. Klasa 4. Zeszyt ćwiczeń. Część 1 - rozwiązania i odpowiedzi
Zadanie 87., strona 133, Matematyka z plusem. Klasa 2. Zbiór zadań. Zakres podstawowy i rozszerzony – rozwiązania i odpowiedzi
REKLAMA
Skul
Zadania z tego działu
2. Procenty
23
2.1. Ułamki i procenty
23

Zadanie 1.

23

Zadanie 2.

21

Podpunkt a)

21

Podpunkt b)

21

Podpunkt c)

21

Podpunkt d)

21

Podpunkt e)

21

Zadanie 3.

23

Zadanie 4.

24

Podpunkt a)

24

Podpunkt b)

24

Podpunkt c)

24

Zadanie 5.

24

Zadanie 6.

24

Zadanie 7.

24
2.2. Obliczanie procentu danej liczby
25

Zadanie 1.

25

Zadanie 2.

25

Podpunkt a)

25

Podpunkt b)

25

Podpunkt c)

25

Podpunkt d)

25

Podpunkt e)

25

Zadanie 3.

25

Zadanie 4.

25

Zadanie 5.

26

Zadanie 6.

26

Zadanie 7.

26

Zadanie 8.

26
2.3. Obliczanie jakim procentem liczby jest druga liczba
27

Zadanie 1.

27

Zadanie 2.

27

Zadanie 3.

27

Zadanie 4.

21

Podpunkt a)

21

Podpunkt b)

21

Podpunkt c)

21

Podpunkt d)

21

Zadanie 5.

28

Podpunkt a)

28

Podpunkt b)

28

Zadanie 6.

28

Zadanie 7.

28
2.4. Obliczanie liczby, gdy dany jest jej procent
29

Zadanie 1.

29

Zadanie 2.

29

Zadanie 3.

29

Podpunkt a)

29

Podpunkt b)

29

Podpunkt c)

29

Podpunkt d)

29

Podpunkt e)

29

Zadanie 4.

29

Podpunkt a)

29

Podpunkt b)

29

Podpunkt c)

29

Podpunkt d)

29

Zadanie 5.

30

Zadanie 6.

30

Zadanie 7.

30

Zadanie 8.

30
2.5. Obliczenia procentowe
31

Zadanie 1.

31

Zadanie 2.

31

Podpunkt a)

31

Podpunkt b)

31

Podpunkt c)

31

Zadanie 3.

31

Zadanie 4.

32

Podpunkt a)

32

Podpunkt b)

32

Zadanie 5.

32

Zadanie 6.

32

Zadanie 7.

33

Zadanie 8.

33
2.6. Diagramy procentowe
34

Zadanie 1.

34

Zadanie 2.

34

Zadanie 3.

35

Podpunkt a)

35

Podpunkt b)

35

Podpunkt c)

35

Zadanie 4.

35

Zadanie 5.

35

Zadanie 6.

36

Podpunkt a)

36

Podpunkt b)

36

Podpunkt c)

36
Pełny spis treści
Skul
Artboard 1
Skul.pl
  • Napisz do nas
  • FAQ
  • Mapa Serwisu
  • Google Play
  • App Store

Korzystanie z portalu oznacza akceptację Regulaminu.
Polityka prywatności. Ustawienia preferencji. Copyright: INTERIA.PL 1999-2023 Wszystkie prawa zastrzeżone.