Skul.pl
  • Opracowania zadań z podręczników
  • Matematyka. Klasa 7. Zeszyt ćwiczeń - rozwiązania i odpowiedzi
  • Zadanie 1.

Matematyka. Klasa 7. Zeszyt ćwiczeń - rozwiązania i odpowiedzi

Zeszyt ćwiczeń, Wydawnictwo: WSiP
Poprzednie

Zadanie 1. - strona 29

Następne

Zadanie

8 to 4% liczby

A. 20

B. 32

C. 200

D. 320

Rozwiązanie

Odpowiedź A.

Skul

Wyjaśnienie

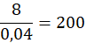
Wystarczy podzielić wartość liczby przez dziesiętną wartość procentu. Na przykład, jeśli chcesz obliczyć ile to jest 20% z liczby 100, podziel 100 przez 0,2 (czyli dziesiętną wartość 20%), a otrzymasz wynik 500.

Poprzednie
Następne

Matematyka - wybrane pytania

Zadanie 17., strona 14, Matematyka. Klasa 7. Zbiór zadań – rozwiązania i odpowiedzi
Zadanie 15., strona 118, Matematyka z plusem. Klasa 4. Zbiór zadań - rozwiązania i odpowiedzi
Zadanie 68, strona 232, Matematyka. Klasa 2. Zbiór zadań. Zakres rozszerzony – rozwiązania i odpowiedzi
Ćwiczenie 1., strona 55, Matematyka z plusem. Klasa 5. Zeszyt ćwiczeń. Wersja C - rozwiązania i odpowiedzi
Zadanie 3., strona 64, MATeMAtyka. Klasa 3. Podręcznik. Zakres podstawowy - rozwiązania i odpowiedzi
Zadanie 2., strona 205, Matematyka. Klasa 7. Zbiór zadań – rozwiązania i odpowiedzi
Zadanie 37., strona 58, Nowa teraz matura 4. Poziom rozszerzony. Zbiór zadań - rozwiązania i odpowiedzi
Zadanie 8.16., strona 256, Matematyka. Prosto do matury. Klasa 1. Zakres podstawowy i rozszerzony. Podręcznik - rozwiązania i odpowiedzi
Ćwiczenie 2., strona 227, Matematyka wokół nas. Klasa 5. Podręcznik - rozwiązania i odpowiedzi
Ćwiczenie 6., strona 18, Matematyka z Plusem. Liczby naturalne i ułamki zwykłe. Klasa 5. Zeszyt ćwiczeń. Wersja A. Część 1/3 - rozwiązania i odpowiedzi
REKLAMA
Skul
Zadania z tego działu
2. Procenty
23
2.1. Ułamki i procenty
23

Zadanie 1.

23

Zadanie 2.

21

Podpunkt a)

21

Podpunkt b)

21

Podpunkt c)

21

Podpunkt d)

21

Podpunkt e)

21

Zadanie 3.

23

Zadanie 4.

24

Podpunkt a)

24

Podpunkt b)

24

Podpunkt c)

24

Zadanie 5.

24

Zadanie 6.

24

Zadanie 7.

24
2.2. Obliczanie procentu danej liczby
25

Zadanie 1.

25

Zadanie 2.

25

Podpunkt a)

25

Podpunkt b)

25

Podpunkt c)

25

Podpunkt d)

25

Podpunkt e)

25

Zadanie 3.

25

Zadanie 4.

25

Zadanie 5.

26

Zadanie 6.

26

Zadanie 7.

26

Zadanie 8.

26
2.3. Obliczanie jakim procentem liczby jest druga liczba
27

Zadanie 1.

27

Zadanie 2.

27

Zadanie 3.

27

Zadanie 4.

21

Podpunkt a)

21

Podpunkt b)

21

Podpunkt c)

21

Podpunkt d)

21

Zadanie 5.

28

Podpunkt a)

28

Podpunkt b)

28

Zadanie 6.

28

Zadanie 7.

28
2.4. Obliczanie liczby, gdy dany jest jej procent
29

Zadanie 1.

29

Zadanie 2.

29

Zadanie 3.

29

Podpunkt a)

29

Podpunkt b)

29

Podpunkt c)

29

Podpunkt d)

29

Podpunkt e)

29

Zadanie 4.

29

Podpunkt a)

29

Podpunkt b)

29

Podpunkt c)

29

Podpunkt d)

29

Zadanie 5.

30

Zadanie 6.

30

Zadanie 7.

30

Zadanie 8.

30
2.5. Obliczenia procentowe
31

Zadanie 1.

31

Zadanie 2.

31

Podpunkt a)

31

Podpunkt b)

31

Podpunkt c)

31

Zadanie 3.

31

Zadanie 4.

32

Podpunkt a)

32

Podpunkt b)

32

Zadanie 5.

32

Zadanie 6.

32

Zadanie 7.

33

Zadanie 8.

33
2.6. Diagramy procentowe
34

Zadanie 1.

34

Zadanie 2.

34

Zadanie 3.

35

Podpunkt a)

35

Podpunkt b)

35

Podpunkt c)

35

Zadanie 4.

35

Zadanie 5.

35

Zadanie 6.

36

Podpunkt a)

36

Podpunkt b)

36

Podpunkt c)

36
Pełny spis treści
Skul
Artboard 1
Skul.pl
  • Napisz do nas
  • FAQ
  • Mapa Serwisu
  • Google Play
  • App Store

Korzystanie z portalu oznacza akceptację Regulaminu.
Polityka prywatności. Ustawienia preferencji. Copyright: INTERIA.PL 1999-2023 Wszystkie prawa zastrzeżone.