W tym zadaniu oblicz, ile razy bok kwadratu jest dłuższy od boku sześciokąta wiedząc, że kwadrat i sześciokąt foremny mają równe pola.
P1 = a2
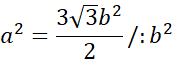
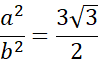
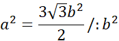
P1 = P2
Pole kwadratu: P1 = a2
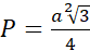
Zauważ, że pole sześciokąta foremnego składa się z 6 pól trójkątów równobocznych o boku a. Wyznacz wzór na pole sześciokąta korzystając ze wzoru na pole trójkąta równobocznego
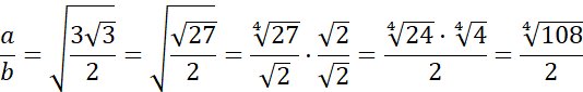
P1 = P2
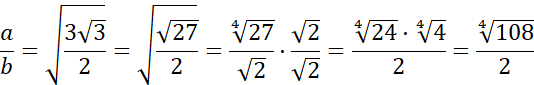
Spierwiastkuj obie strony równania.
Zadanie 1
135Zadanie 2
135Zadanie 3
135Zadanie 6
135Zadanie 7
136Zadanie 8
136Zadanie 12
136Zadanie 13
137Zadanie 14
137Zadanie 15
137Zadanie 17
137Zadanie 6
141Zadanie 11
142Zadanie B
145Zadanie 1
147Zadanie 2
147Zadanie 7
148Zadanie 8
148Zadanie 11
148Zadanie 13
149Zadanie 15
149Ćwiczenie 1
151Zadanie 1
153Zadanie 2
153Zadanie 3
153Zadanie 10
154Ćwiczenie A
155Ćwiczenie F
157Zadanie 1
158Zadanie 3
158Zadanie 4
158Zadanie 5
158Zadanie 6
158Zadanie 7
158Zadanie 8
158Zadanie 10
159Zadanie 11
159Zadanie 12
159Zadanie 13
159Zadanie 15
160Zadanie 17
160Zadanie 19
160Zadanie 20
160Zadanie 21
161Zadanie 23
161Zadanie 4
162Zadanie 5
162Zadanie 10
162Zadanie 11
162