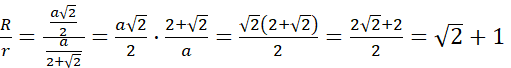
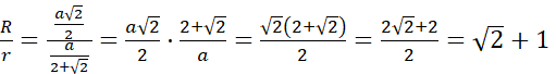
W tym zadaniu wykaż, że promień okręgu opisanego na trójkącie prostokątnym równoramiennym jest
Trójkąt jest prostokątny równoramienny, więc jego można oznaczyć jako
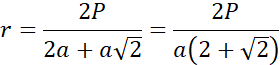
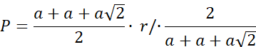
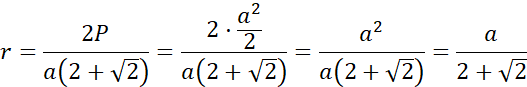
Wyznacz promień okręgu wpisanego ze wzoru na pole trójkąta
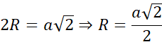
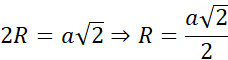
Przeciwprostokątna trójkąta wpisanego w okrąg o promieniu R to jego dwa promienie.
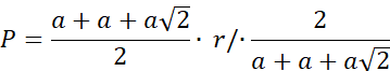
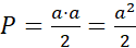
Pole tego trójkąta wynosi
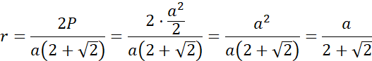
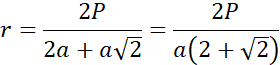
Podstaw wzór na pole do wzoru na promień r okręgu wpisanego.
Sprawdź, ile razy dłuższy jest promień R od promienia r.
Zadanie 1
135Zadanie 2
135Zadanie 3
135Zadanie 6
135Zadanie 7
136Zadanie 8
136Zadanie 12
136Zadanie 13
137Zadanie 14
137Zadanie 15
137Zadanie 17
137Zadanie 6
141Zadanie 11
142Zadanie B
145Zadanie 1
147Zadanie 2
147Zadanie 7
148Zadanie 8
148Zadanie 11
148Zadanie 13
149Zadanie 15
149Ćwiczenie 1
151Zadanie 1
153Zadanie 2
153Zadanie 3
153Zadanie 10
154Ćwiczenie A
155Ćwiczenie F
157Zadanie 1
158Zadanie 3
158Zadanie 4
158Zadanie 5
158Zadanie 6
158Zadanie 7
158Zadanie 8
158Zadanie 10
159Zadanie 11
159Zadanie 12
159Zadanie 13
159Zadanie 15
160Zadanie 17
160Zadanie 19
160Zadanie 20
160Zadanie 21
161Zadanie 23
161Zadanie 4
162Zadanie 5
162Zadanie 10
162Zadanie 11
162