W tym zadaniu określ, jak długi fragment bandy można oświetlić latarką z punktu na bandzie wiedząc, że ze środka areny cyrkowej (która ma kształt koła) można oświetlić latarką fragment bandy o długości 3 m. Sytuację opisaną w zadaniu przedstawiono na rysunku obok.
Z punktu na bandzie można oświetlić łuk o długości 6 m.
Twierdzenie o kątach wpisanych i środkowym opartych na tym samym łuku okręgu mówi, że kąt wpisany ma dwa razy większą miarę niż kąt środkowy oparty na tym samym łuku – stąd kąt 2α.
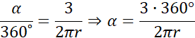
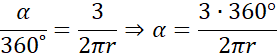
Długość łuku okręgu wyznacza się ze wzoru
Wyznacz kąt drugiego łuku:
Z punktu na bandzie można oświetlić łuk o długości 6 m.
Zadanie 1
135Zadanie 2
135Zadanie 3
135Zadanie 6
135Zadanie 7
136Zadanie 8
136Zadanie 12
136Zadanie 13
137Zadanie 14
137Zadanie 15
137Zadanie 17
137Zadanie 6
141Zadanie 11
142Zadanie B
145Zadanie 1
147Zadanie 2
147Zadanie 7
148Zadanie 8
148Zadanie 11
148Zadanie 13
149Zadanie 15
149Ćwiczenie 1
151Zadanie 1
153Zadanie 2
153Zadanie 3
153Zadanie 10
154Ćwiczenie A
155Ćwiczenie F
157Zadanie 1
158Zadanie 3
158Zadanie 4
158Zadanie 5
158Zadanie 6
158Zadanie 7
158Zadanie 8
158Zadanie 10
159Zadanie 11
159Zadanie 12
159Zadanie 13
159Zadanie 15
160Zadanie 17
160Zadanie 19
160Zadanie 20
160Zadanie 21
161Zadanie 23
161Zadanie 4
162Zadanie 5
162Zadanie 10
162Zadanie 11
162