W tym zadaniu napisz, która z linii na poniższym rysunku jest dłuższa - niebieska czy czarna wiedząc, że punkty A i B są połączone dwiema liniami zbudowanymi z półokręgów - czarną i niebieską.
y + z > x
Niebieska linia jest dłuższa od czarnej.
Przedstawiona figura składa się z połówek trzech okręgów, największy o średnicy x, najmniejszy o średnicy y i średni o promieniu z.
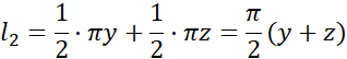
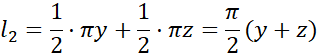
Wzór na długość okręgu to
Wyznacz długość czarnej linii:
Wyznacz długość niebieskiej linii:
Zauważ, że długości x, y i z tworzą trójkąt. Z własności trójkąta wynika, że suma długości dwóch dowolnych boków musi być większa od długości trzeciego boku. Wówczas:
y + z > x
Niebieska linia jest dłuższa od czarnej.
Zadanie 1
135Zadanie 2
135Zadanie 3
135Zadanie 6
135Zadanie 7
136Zadanie 8
136Zadanie 12
136Zadanie 13
137Zadanie 14
137Zadanie 15
137Zadanie 17
137Zadanie 6
141Zadanie 11
142Zadanie B
145Zadanie 1
147Zadanie 2
147Zadanie 7
148Zadanie 8
148Zadanie 11
148Zadanie 13
149Zadanie 15
149Ćwiczenie 1
151Zadanie 1
153Zadanie 2
153Zadanie 3
153Zadanie 10
154Ćwiczenie A
155Ćwiczenie F
157Zadanie 1
158Zadanie 3
158Zadanie 4
158Zadanie 5
158Zadanie 6
158Zadanie 7
158Zadanie 8
158Zadanie 10
159Zadanie 11
159Zadanie 12
159Zadanie 13
159Zadanie 15
160Zadanie 17
160Zadanie 19
160Zadanie 20
160Zadanie 21
161Zadanie 23
161Zadanie 4
162Zadanie 5
162Zadanie 10
162Zadanie 11
162