W tym zadaniu oblicz, jaką długość ma bok ośmiokąta wiedząc, że na kolejnym rysunku zacieniowany ośmiokąt jest foremny oraz bok kwadratu ma długość a.
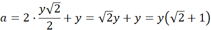
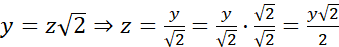
Przeciwprostokątna białego trójkąta wynosi
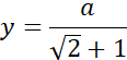
a = 2z + y
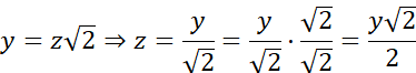
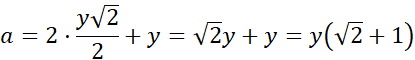
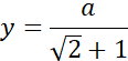
Długość boku ośmiokąta wynosi
Zauważ, że w rogach powstały białe trójkąty prostokątne równoramienne o ramionach z. W takim przypadku przeciwprostokątna wynosi
Figura jest foremna, więc
2z oraz y dają w sumie bok kwadratu o długości a.
a = 2z + y
Wyznacz długość boku ośmiokąta w zależności od parametru a.
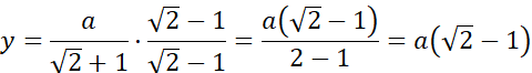
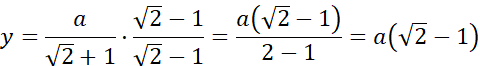
Usuń niewymierność z mianownika. Skorzystaj z wzoru skróconego mnożenia a2 – b2 = (a - b)(a + b).
Długość boku ośmiokąta wynosi
Zadanie 1
135Zadanie 2
135Zadanie 3
135Zadanie 6
135Zadanie 7
136Zadanie 8
136Zadanie 12
136Zadanie 13
137Zadanie 14
137Zadanie 15
137Zadanie 17
137Zadanie 6
141Zadanie 11
142Zadanie B
145Zadanie 1
147Zadanie 2
147Zadanie 7
148Zadanie 8
148Zadanie 11
148Zadanie 13
149Zadanie 15
149Ćwiczenie 1
151Zadanie 1
153Zadanie 2
153Zadanie 3
153Zadanie 10
154Ćwiczenie A
155Ćwiczenie F
157Zadanie 1
158Zadanie 3
158Zadanie 4
158Zadanie 5
158Zadanie 6
158Zadanie 7
158Zadanie 8
158Zadanie 10
159Zadanie 11
159Zadanie 12
159Zadanie 13
159Zadanie 15
160Zadanie 17
160Zadanie 19
160Zadanie 20
160Zadanie 21
161Zadanie 23
161Zadanie 4
162Zadanie 5
162Zadanie 10
162Zadanie 11
162