W tym zadaniu oblicz pole zacieniowanego obszaru i długość zaznaczonego łuku okręgu.
180˚ - 30˚ = 150˚
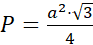
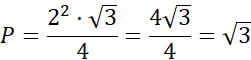
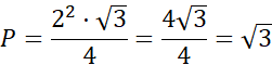
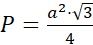
Zacieniowany obszar to trójkąt równoboczny o boku 2. Oblicz jego pole korzystając ze wzoru
Połowa okręgu wyznacza 180˚. Przechodzi ona w połowie trójkąta równobocznego o wszystkich kątach po 60˚, więc połowa takiego kąta to 30˚. Wówczas kąt łuku to 180˚ - 30˚ = 150˚.
Długość łuku okręgu wyznacza się ze wzoru
Zadanie 1
135Zadanie 2
135Zadanie 3
135Zadanie 6
135Zadanie 7
136Zadanie 8
136Zadanie 12
136Zadanie 13
137Zadanie 14
137Zadanie 15
137Zadanie 17
137Zadanie 6
141Zadanie 11
142Zadanie B
145Zadanie 1
147Zadanie 2
147Zadanie 7
148Zadanie 8
148Zadanie 11
148Zadanie 13
149Zadanie 15
149Ćwiczenie 1
151Zadanie 1
153Zadanie 2
153Zadanie 3
153Zadanie 10
154Ćwiczenie A
155Ćwiczenie F
157Zadanie 1
158Zadanie 3
158Zadanie 4
158Zadanie 5
158Zadanie 6
158Zadanie 7
158Zadanie 8
158Zadanie 10
159Zadanie 11
159Zadanie 12
159Zadanie 13
159Zadanie 15
160Zadanie 17
160Zadanie 19
160Zadanie 20
160Zadanie 21
161Zadanie 23
161Zadanie 4
162Zadanie 5
162Zadanie 10
162Zadanie 11
162