W tym zadaniu jakie długości mają przekątne ośmiokąta wiedząc, że ośmiokąt foremny ma bok długości 4.
|HI| =
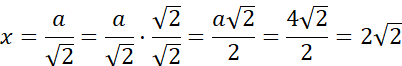
a =
d2 = x2 + (x + 4)2
Narysuj ośmiokąt i zaznacz jego przekątne.
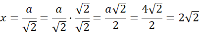
Zauważ, że |HI| to przeciwprostokątna trójkąta prostokątnego równoramiennego o boku x, więc |HI| =
|HI| to bok ośmiokąta, więc a =
Zauważ, że trójkąt AGI jest prostokątny. Zapisz dla niego twierdzenie Pitagorasa a2 + b2 = c2, gdzie a i b to długości przyprostokątnych, a c to przeciwprostokątna trójkąta prostokątnego.
d2 = x2 + (x + 4)2
Skorzystaj z wzoru skróconego mnożenia (a + b)2 = a2 + 2ab + b2.
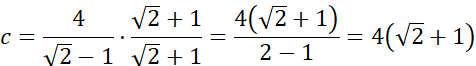
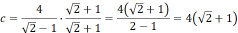
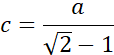
Aby wyznaczyć przekątną c, skorzystaj z rozwiązania w zadaniu 17/160 z podpunktu b).
Usuń niewymierność z mianownika. Skorzystaj z wzoru skróconego mnożenia a2 – b2 = (a - b)(a + b).
Zauważ, że trójkąt EFA jest prostokątny. Wyznacz z niego przekątną b korzystając z twierdzenia Pitagorasa.
Ponownie skorzystaj z wzoru skróconego mnożenia (a + b)2 = a2 + 2ab + b2.
Zadanie 1
135Zadanie 2
135Zadanie 3
135Zadanie 6
135Zadanie 7
136Zadanie 8
136Zadanie 12
136Zadanie 13
137Zadanie 14
137Zadanie 15
137Zadanie 17
137Zadanie 6
141Zadanie 11
142Zadanie B
145Zadanie 1
147Zadanie 2
147Zadanie 7
148Zadanie 8
148Zadanie 11
148Zadanie 13
149Zadanie 15
149Ćwiczenie 1
151Zadanie 1
153Zadanie 2
153Zadanie 3
153Zadanie 10
154Ćwiczenie A
155Ćwiczenie F
157Zadanie 1
158Zadanie 3
158Zadanie 4
158Zadanie 5
158Zadanie 6
158Zadanie 7
158Zadanie 8
158Zadanie 10
159Zadanie 11
159Zadanie 12
159Zadanie 13
159Zadanie 15
160Zadanie 17
160Zadanie 19
160Zadanie 20
160Zadanie 21
161Zadanie 23
161Zadanie 4
162Zadanie 5
162Zadanie 10
162Zadanie 11
162