W tym zadaniu określ, o ile większe jest pole trójkąta niż pole kwadratu wiedząc, że na rysunku obok trójkąt równoboczny jest opisany na okręgu o promieniu 1, a kwadrat jest wpisany w ten okrąg.
A.
B.
C.
D.
A.
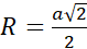
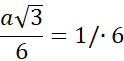
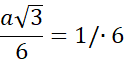
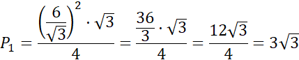
Promień okręgu wpisanego w trójkąt równoboczny:
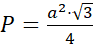
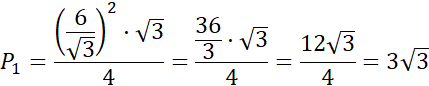
Wyznacz pole trójkąta równobocznego korzystając ze wzoru
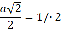
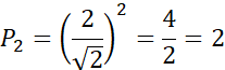
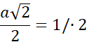
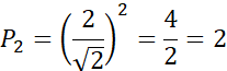
Promień okręgu opisanego na kwadracie:
Oblicz pole kwadratu korzystając ze wzoru P = a2.
Wyznacz różnicę między polami:
Zadanie 1
135Zadanie 2
135Zadanie 3
135Zadanie 6
135Zadanie 7
136Zadanie 8
136Zadanie 12
136Zadanie 13
137Zadanie 14
137Zadanie 15
137Zadanie 17
137Zadanie 6
141Zadanie 11
142Zadanie B
145Zadanie 1
147Zadanie 2
147Zadanie 7
148Zadanie 8
148Zadanie 11
148Zadanie 13
149Zadanie 15
149Ćwiczenie 1
151Zadanie 1
153Zadanie 2
153Zadanie 3
153Zadanie 10
154Ćwiczenie A
155Ćwiczenie F
157Zadanie 1
158Zadanie 3
158Zadanie 4
158Zadanie 5
158Zadanie 6
158Zadanie 7
158Zadanie 8
158Zadanie 10
159Zadanie 11
159Zadanie 12
159Zadanie 13
159Zadanie 15
160Zadanie 17
160Zadanie 19
160Zadanie 20
160Zadanie 21
161Zadanie 23
161Zadanie 4
162Zadanie 5
162Zadanie 10
162Zadanie 11
162