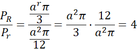
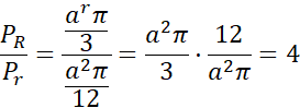
W tym zadaniu określ, ile razy pole koła opisanego na trójkącie równobocznym jest większe od pola koła wpisanego w ten trójkąt.
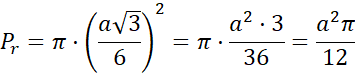
Pole koła opisanego na trójkącie równobocznym jest 4 razy większe od pola koła wpisanego w ten trójkąt.
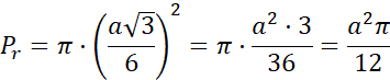
Wzór na pole koła to
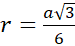
Promień koła wpisanego w trójkąt:
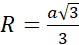
Promień koła opisanego na trójkącie:
Pole koła opisanego na trójkącie równobocznym jest 4 razy większe od pola koła wpisanego w ten trójkąt.
Zadanie 1
135Zadanie 2
135Zadanie 3
135Zadanie 6
135Zadanie 7
136Zadanie 8
136Zadanie 12
136Zadanie 13
137Zadanie 14
137Zadanie 15
137Zadanie 17
137Zadanie 6
141Zadanie 11
142Zadanie B
145Zadanie 1
147Zadanie 2
147Zadanie 7
148Zadanie 8
148Zadanie 11
148Zadanie 13
149Zadanie 15
149Ćwiczenie 1
151Zadanie 1
153Zadanie 2
153Zadanie 3
153Zadanie 10
154Ćwiczenie A
155Ćwiczenie F
157Zadanie 1
158Zadanie 3
158Zadanie 4
158Zadanie 5
158Zadanie 6
158Zadanie 7
158Zadanie 8
158Zadanie 10
159Zadanie 11
159Zadanie 12
159Zadanie 13
159Zadanie 15
160Zadanie 17
160Zadanie 19
160Zadanie 20
160Zadanie 21
161Zadanie 23
161Zadanie 4
162Zadanie 5
162Zadanie 10
162Zadanie 11
162