Zadanie

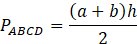
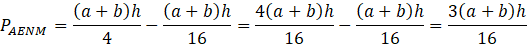
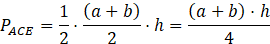
W tym zadaniu musisz wykazać, że pole trapezu AENM stanowi pola trapezu ABCD wiedząc, że w trapezie równoramiennym ABCD, w którym i , odcinek łączący środki ramion przecina przekątna AC w punkcie M i wysokość CE w punkcie N.

Rozwiązanie

Wyjaśnienie

Zadania z tego działu
Geometria płaska – pole czworokąta
157
Mapa. Skala mapy
178