Zadanie

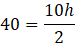
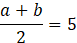
W tym zadaniu musisz obliczyć wysokość trapezu, wiedząc, że odcinek łączący środki ramion trapezu ma długość 5, a pole tego trapezu jest równe 40.

Rozwiązanie

Wyjaśnienie

Zadania z tego działu
Geometria płaska – pole czworokąta
157
Mapa. Skala mapy
178