W tym zadaniu musisz obliczyć, jaki jest stosunek pól powstałych trapezów P1:P2 wiedząc, że na rysunku obok prosta k dzieli jeden dłuższy bok prostokąta w stosunku 1:5, a drugi dłuższy bok na połowy.
Rozwiązanie
Poprawną odpowiedzią jest odp. B.
Wyjaśnienie
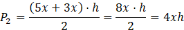
Wykonaj rysunek. Opisz pole pierwszego trapezu jako , a drugiego jako . Oblicz stosunek ich pól.