W tym zadaniu musisz obliczyć długość drugiej przekątnej czworokąta wypukłego, wiedząc, że pole jest równe , jedna przekątna ma długość 10 cm, a cosinus kąta przecięcia przekątnych jest równy .
Rozwiązanie
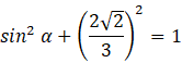
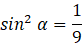
Obliczam korzystając z jedynki trygonometrycznej:
Druga przekątna ma długość 12 cm.
Wyjaśnienie
Oblicz wartość sinusa kąta z jedynki trygonometrycznej. Następnie oblicz długość drugiej przekątnej korzystając ze wzoru .