W tym zadaniu musisz obliczyć sinus kąta przecięcia przekątnych, wiedząc, że dany jest równoległobok ABCD, w którym bok AB ma długość 4, bok BC ma długość 2, a kąt BAD jest równy .
Rozwiązanie
Wyjaśnienie
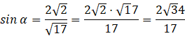
Obliczam długość przekątnej AC i BD z twierdzenia cosinusów oraz sinus kąta przecięcia przekątnych, korzystając z obliczonego pola równoległoboku.